信息时代的人工智能、物联网等多种新型应用都依赖于功能半导体器件和集成电路的发展。“后摩尔时代”的到来激发了多功能硅基集成器件的发展,其中,光电探测器是一个重要组成部分。目前主流光电探测器为硅基器件,难以实现宽光谱探测,响应率与探测率不能满足需求。利用二维材料二硫化钼(MoS2)和铁电铪基氧化物(例如Zr掺杂的HfO2,HZO)等新型材料构建的半导体硅工艺兼容的光电探测器件具有极大应用潜力,但目前面临着器件制备工艺、结构优化和暗电流较高等挑战,因此其工作物理机制需要进一步研究,探测率和响应度等关键参数需要进一步提升。
近日,西安交通大学电信学部电子学院任巍教授、牛刚教授团队利用基于二硫化钼沟道和外延铁电HZO薄膜栅介质的光电晶体管实现了高响应度光电探测。本工作是在精密微纳制造技术全国重点实验室和电子陶瓷与器件教育部重点实验室支持下完成的。该工作利用优化的具有背栅结构和肖特基对650 nm波长光电响应进行了实验验证并实现良好的光电探测性能。将半导体硅工艺兼容性好、铁电畴取向一致性高的外延铪基铁电薄膜应用于此类器件,有助于提高器件性能并研究相关重要物理现象,包括双极电学行为和负光电导性。
在对二硫化钼材料特性,以及器件电特性和光电特性的研究基础上,研究团队阐明了二硫化钼光电探测器铁电调控性能的原因,包括:光门控效应和铁电极化场对沟道载流子的调控。实验中还观察到了具有-8.44×103A W-1高响应度的负光电导,这对于极弱光探测具有重要意义。


图1.9 nm厚外延HZO薄膜表征。图片来源:Advanced Functional Materials

图2.二硫化钼背栅场效应晶体管结构与表征。图片来源:Advanced Functional Materials

图3.二硫化钼背栅场效应晶体管电特性。图片来源:Advanced Functional Materials

图4.二硫化钼场效应晶体管能带图。图片来源:Advanced Functional Materials

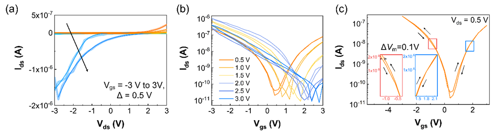
图5.在650 nm光照下二硫化钼场效应晶体管的光电响应。图片来源:Advanced Functional Materials

图6.二硫化钼场效应晶体管负光电导效应原理示意图。图片来源:Advanced Functional Materials
该成果以“基于外延铁电栅的具有负光电导和高响应度的双极性MoS2场效应晶体管”(Ambipolar MoS2Field Effect Transistors with Negative Photoconductivity and High Responsivity Using an Ultrathin Epitaxial Ferroelectric Gate)为题发表在Advanced Functional Materials上。西安交通大学牛刚教授和任巍教授为该论文的通讯作者,西安交通大学蒋庄德院士、赵立波教授为论文共同作者。论文的合作单位还包括美国加州大学洛杉矶分校。
西安交通大学电信学部电子学院任巍教授、牛刚教授课题组长期从事后摩尔集成电路功能薄膜与器件的研究。近年来在“后摩尔”介电、压(铁)电功能薄膜与集成器件方面取得了系列成果,研究论文已经发表于Nature Commun.、Adv. Funct. Mater.、ACS Nano、InfoMat、IEEE Electron. Dev. Lett.和Sensor Actuat. B等期刊上。
论文链接:https://doi.org/10.1002/adfm.202402185
更多信息请查阅牛刚教授个人主页:https://gr.xjtu.edu.cn/web/gangniu